熟女
段路明教授研究组与徐勇助理教授合作,在基于钠原子的玻色爱因斯坦凝聚体中,首次观测到与多体激发态相对应的动力学量子相变。该成果论文《与激发态相图相对应的动力学量子相变的实验观测》(Observation of Dynamical Quantum Phase Transitions with Correspondence in an Excited State Phase Diagram)近日发表于国际学术期刊《物理评论快报》(Phys. Rev. Lett)上。

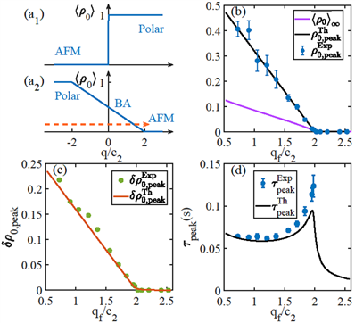
图标:实验观测到的动力学量子相变与激发态相图的对应关系
相变是广泛存在于宏观物质中的现象。调节系统参数跨过相变点,物质从一种相转变成另一种相,即为相变,例如水在固液气三态之间随着温度变化的转变。在接近绝对零度时,量子效应占据主导作用,此时的相变称为量子相变。它又可分为基态量子相变与激发态量子相变。区别在于前者关注基态性质,后者关注激发态性质。例如,在自旋等于1的反铁磁旋量玻色爱因斯坦凝聚体中,随着二阶塞曼能量的改变,系统基态在极化态(polar phase)与反铁磁态(antiferromagnetic phase)之间的转变就是一种基态量子相变。上述相变着眼于平衡态物理。为了探究非平衡态物理,人们将“相变”的概念推广至非平衡过程,即动力学量子相变。当系统受到扰动后,其动力学响应在相变点两边表现出截然不同的性质,这就是动力学量子相变。
近年来,动力学量子相变的研究成为热门课题,动力学量子相变与平衡态量子相变的关系也备受关注。目前,理论与实验研究均表明动力学量子相变与基态量子相变并不总是存在一一对应的关系;也有理论研究表明动力学量子相变与激发态量子相变有一定的关系,但仍缺乏实验证据。段路明教授研究组基于钠原子玻色爱因斯坦凝聚体系统,通过精密的实验设计,解决了系统长时衰减问题,利用微波对系统施加瞬时扰动,首次在量子多体系统中观测到与激发态相变对应的动力学量子相变。该实验同时表明量子淬火的动力学方法可以用来测量激发态相图。
该论文共同第一作者为熟女
博士研究生田天、博士后杨蒿翔,通讯作者为段路明教授、徐勇助理教授,其他作者包括熟女
博士研究生仇丽媛、梁海玉和杨炎彬。项目得到教育部、科技部以及熟女
的经费支持。
文章链接://journals.aps.org/prl/abstract/10.1103/PhysRevLett.124.043001